


无需人类监督,AI终身强化学习


方法
:这个缓冲区在每个新任务开始时初始化。
:智能体将所有任务的所有回合存储在这个缓冲区中,无论它们是否成功。
或一系列时间观察
,并保持几何和时间一致性的同时,修改观察中的一个或多个对象。

扩散增强智能体框架
的成功检测器。
。实验结果
DAAGG框架提出了LLM+VLM+DM之间的相互作用,以解决终身学习智能体面临的3个主要的挑战:


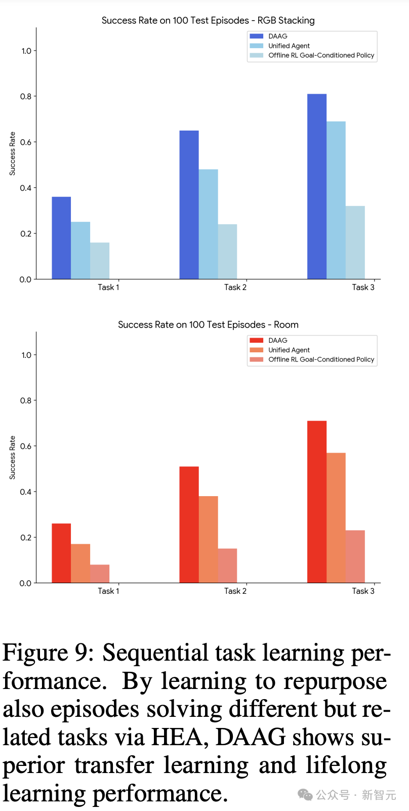
时,在任务
上的性能,性能指标是成功率。
中大部分经验中学习,通过修改和重新利用解决
或其子目标
之外的任务轨迹。





无需人类监督,AI终身强化学习


:这个缓冲区在每个新任务开始时初始化。
:智能体将所有任务的所有回合存储在这个缓冲区中,无论它们是否成功。
或一系列时间观察
,并保持几何和时间一致性的同时,修改观察中的一个或多个对象。

的成功检测器。
。实验结果


时,在任务
上的性能,性能指标是成功率。
中大部分经验中学习,通过修改和重新利用解决
或其子目标
之外的任务轨迹。

